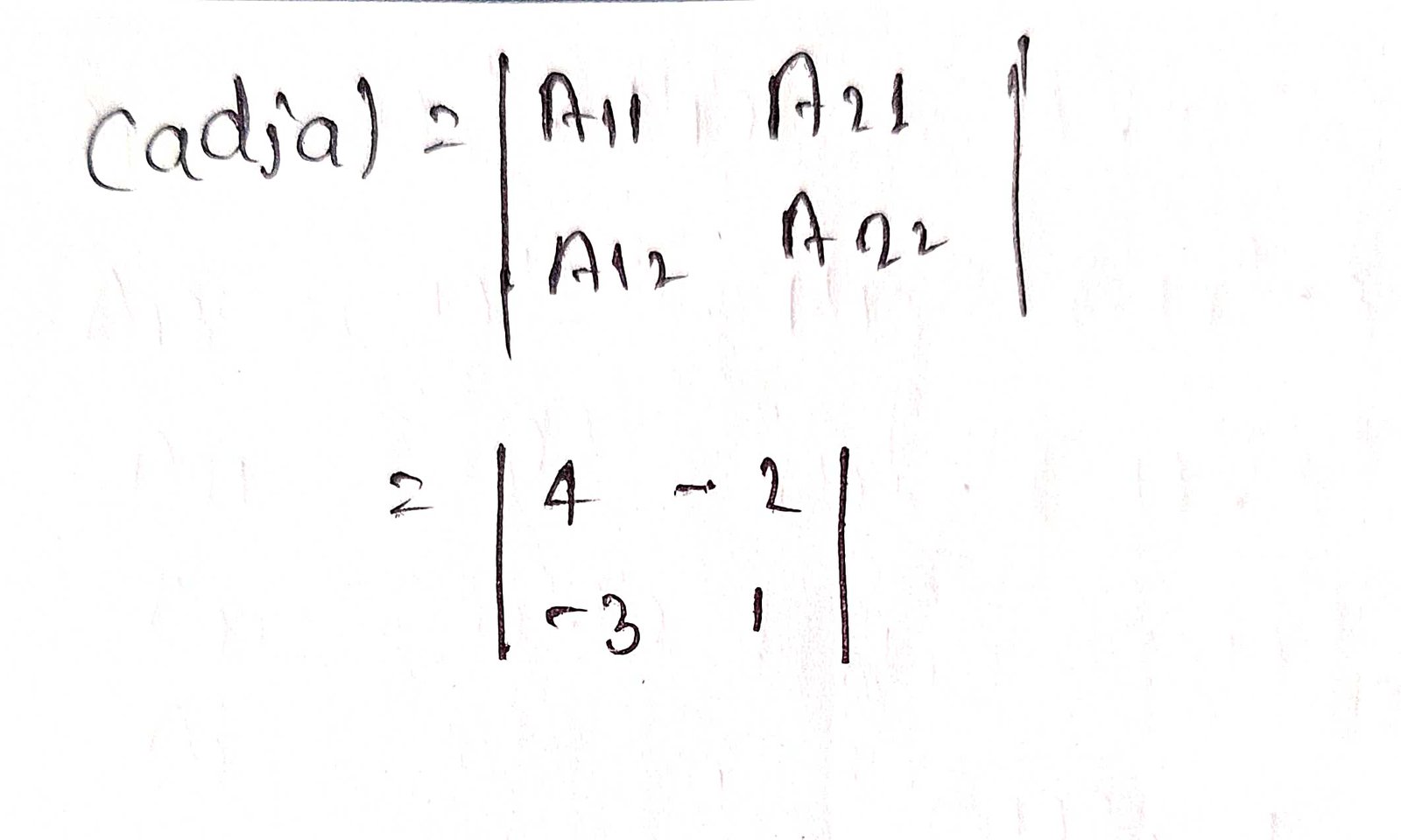
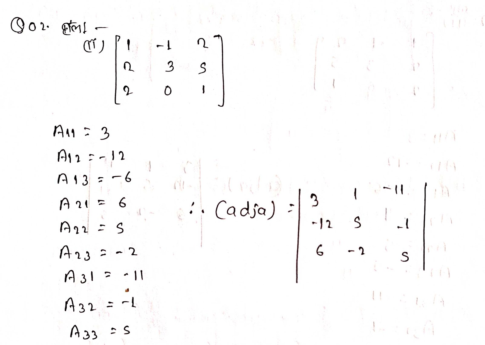
प्रश्न 1 और 2 में प्रत्येक आव्यूह का सहखंडज (Adjoint) ज्ञात करें ।




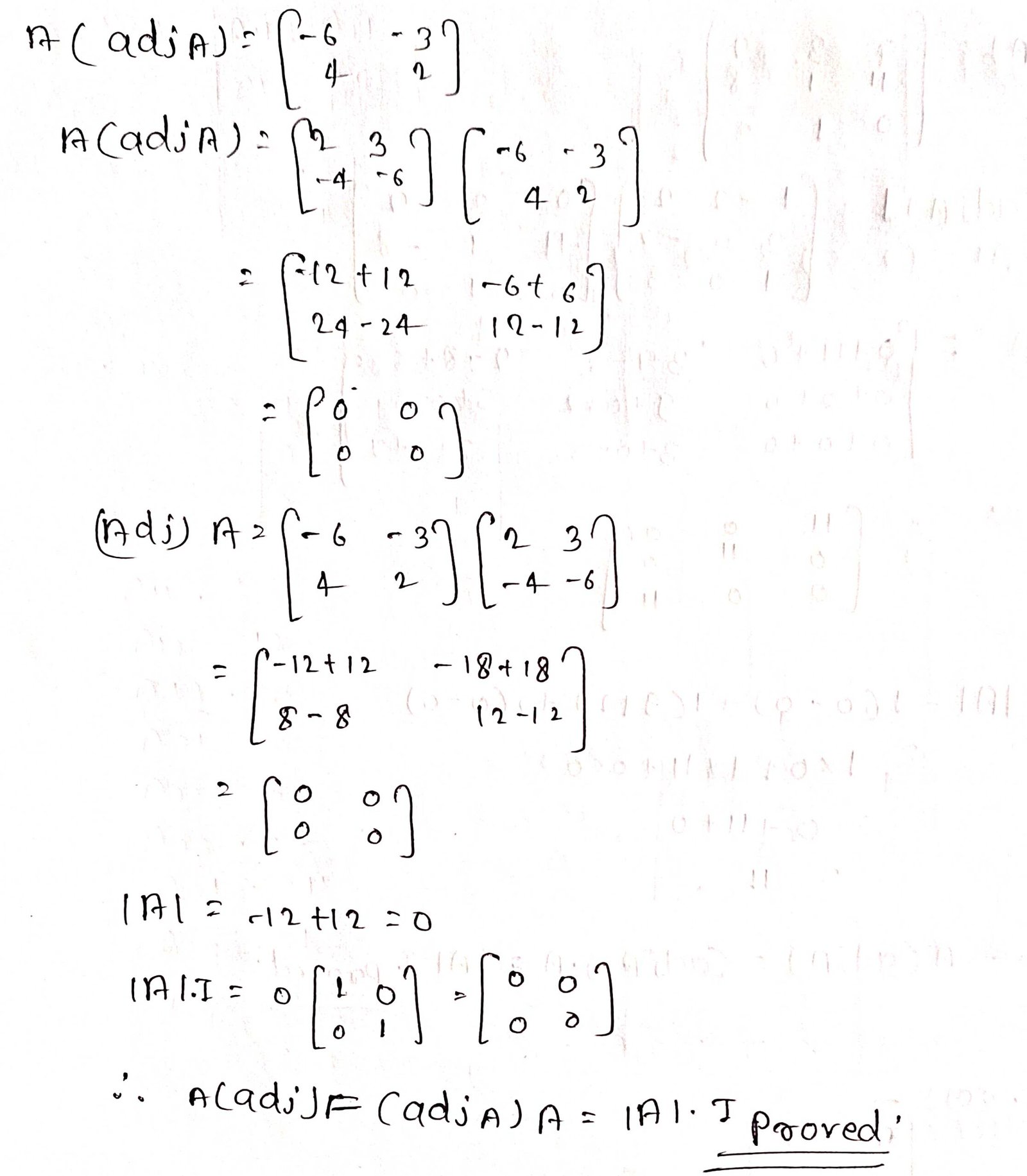
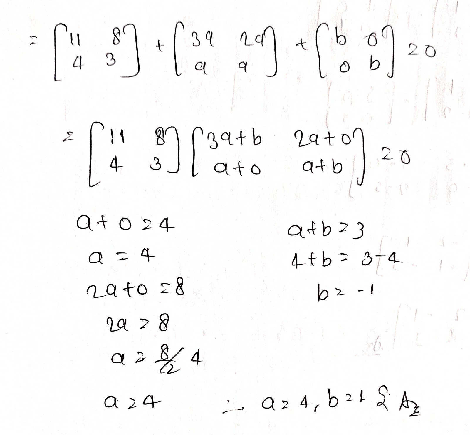
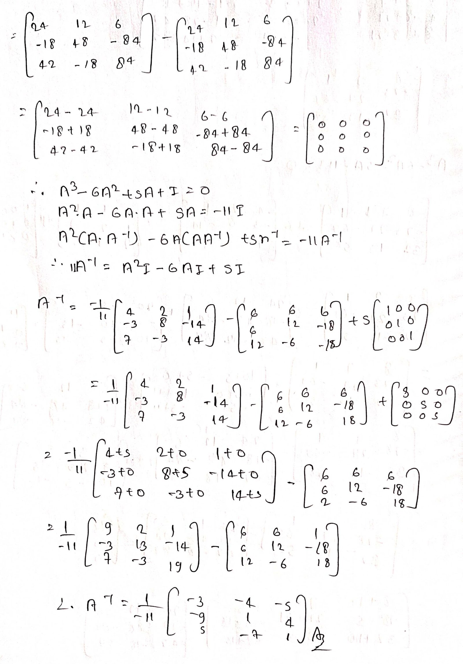
प्रश्न 3 और 4 में सत्यापित कीजिए की A(adj A) = (adj A) .A = |A|. I हैं।




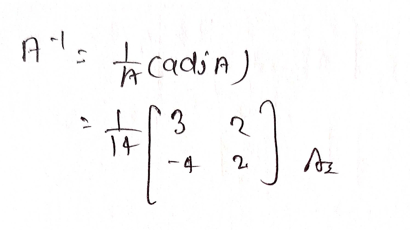
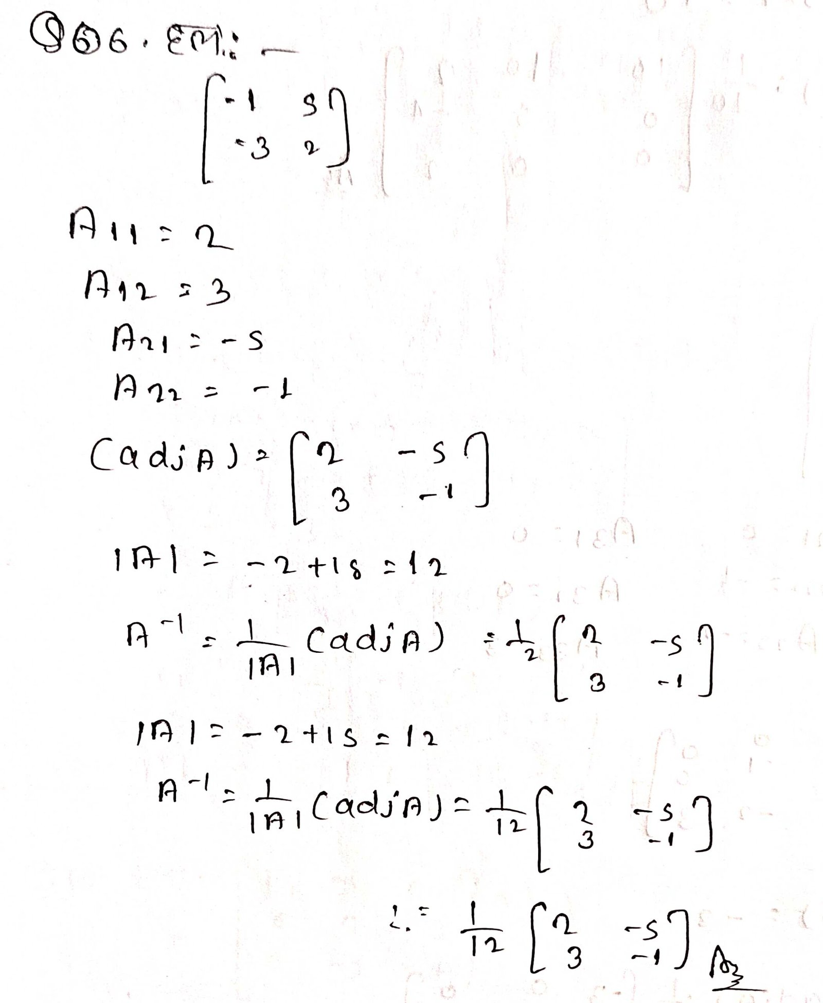
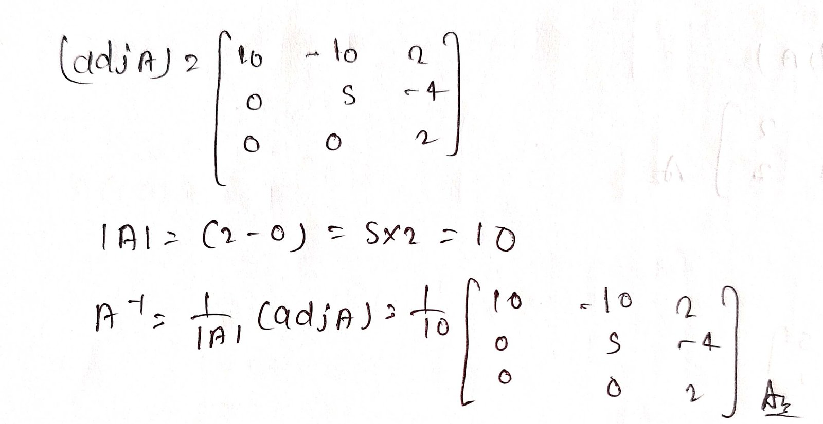
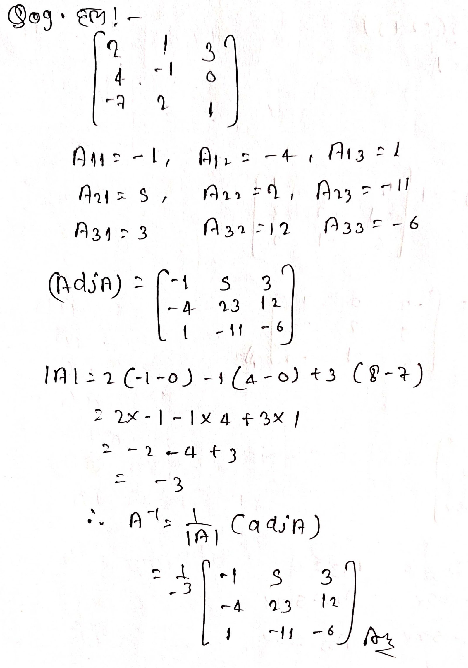
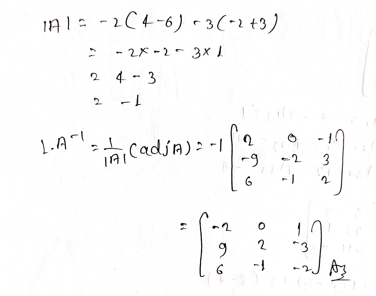
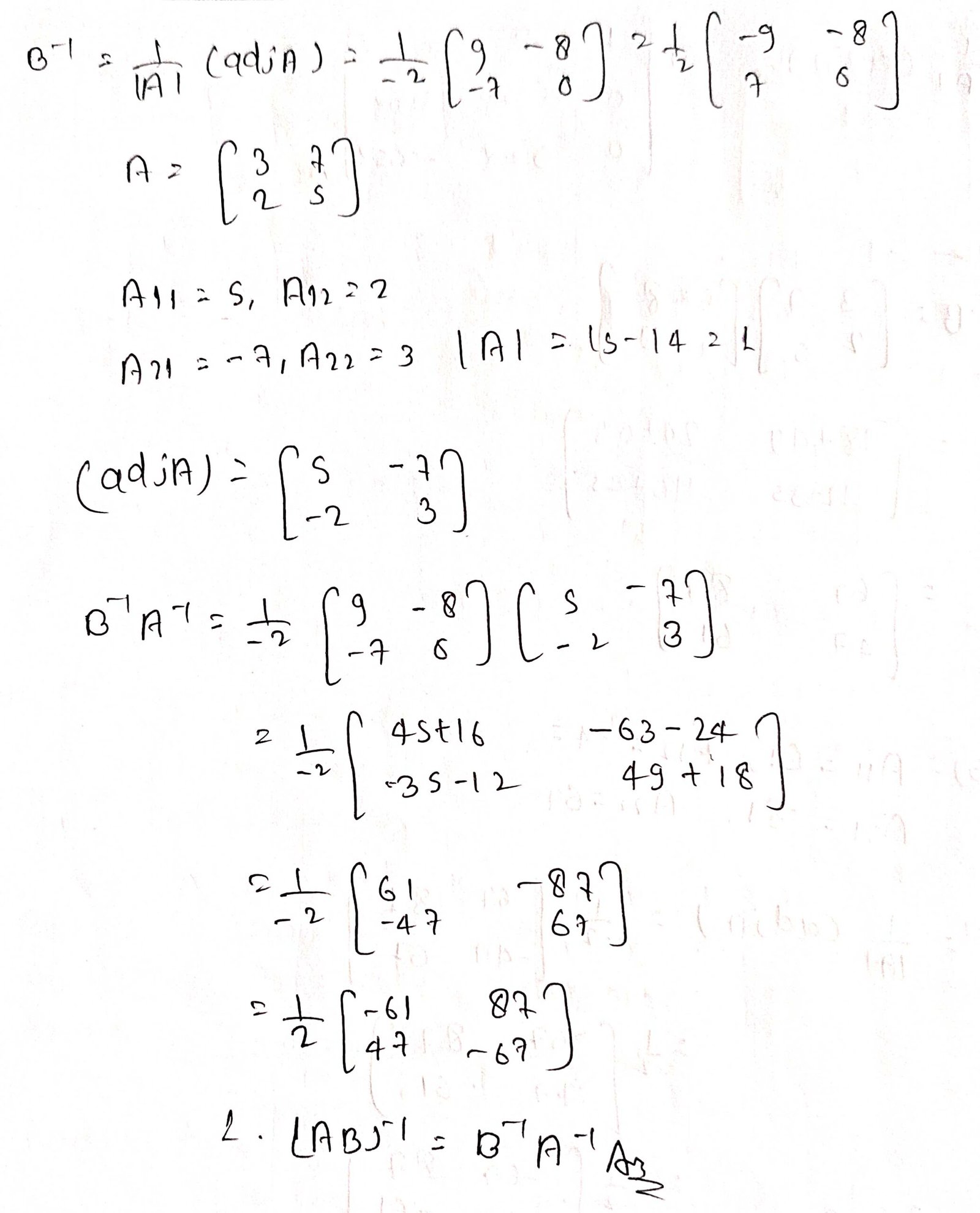
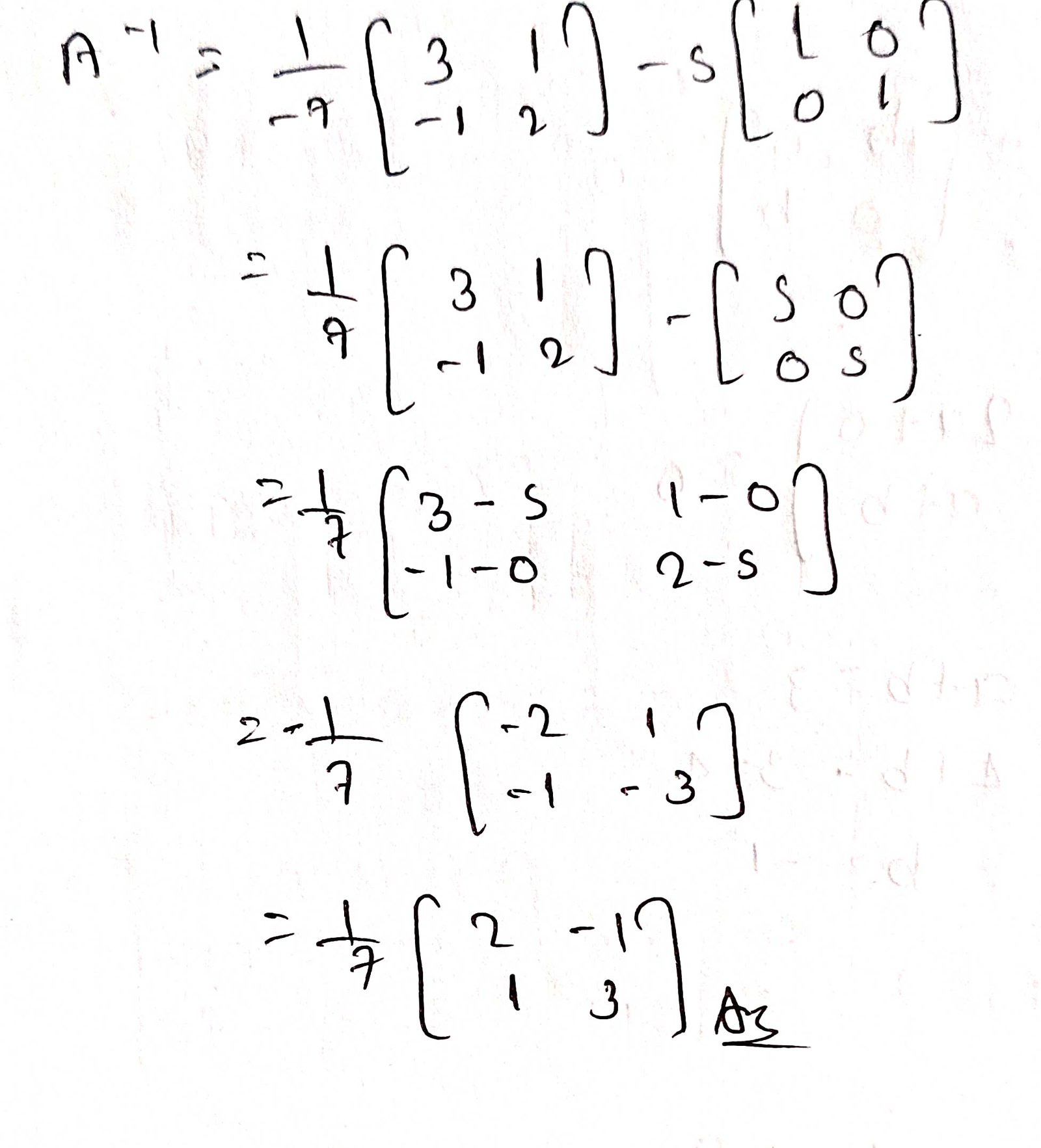
प्रश्न 5 और 11 में दिए गए प्रत्येे आव्यूहों के व्यूत्क्रम (जिनका अस्तित्व हो) ज्ञात कीजिए ।


























प्रश्न 1 और 2 में प्रत्येक आव्यूह का सहखंडज (Adjoint) ज्ञात करें ।




प्रश्न 3 और 4 में सत्यापित कीजिए की A(adj A) = (adj A) .A = |A|. I हैं।




प्रश्न 5 और 11 में दिए गए प्रत्येे आव्यूहों के व्यूत्क्रम (जिनका अस्तित्व हो) ज्ञात कीजिए ।

























