निम्नलिखित प्रश्नों 1 से 6 तक दी गई समीकरण निकायों का संगत अथवा असंगत वेफ रूप में वर्गीकरण कीजिए
1. x + 2y = 2
2x + 3y = 3

2. 2x – y = 5
x + y = 4

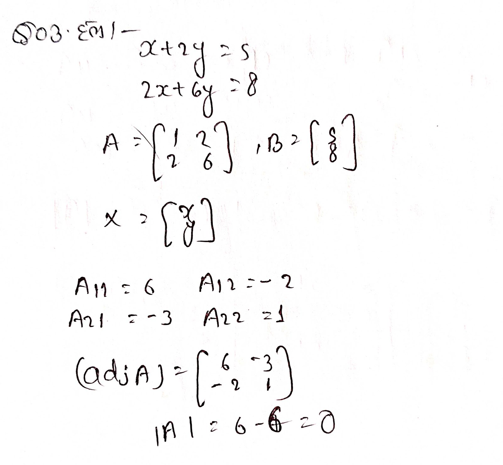
3. x + 3y = 5
2x + 6y = 8

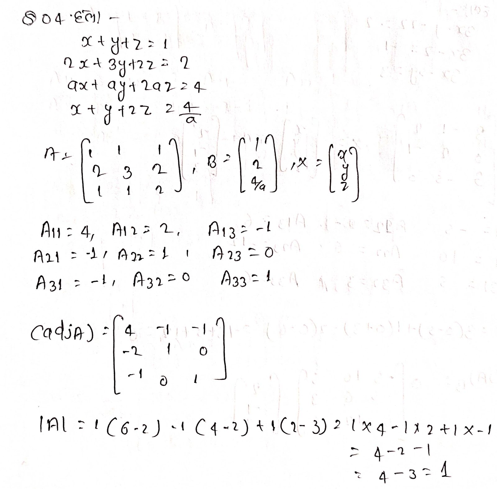
4. x + y + z = 1
2x + 3y + 2z = 2
ax + ay + 2az = 4

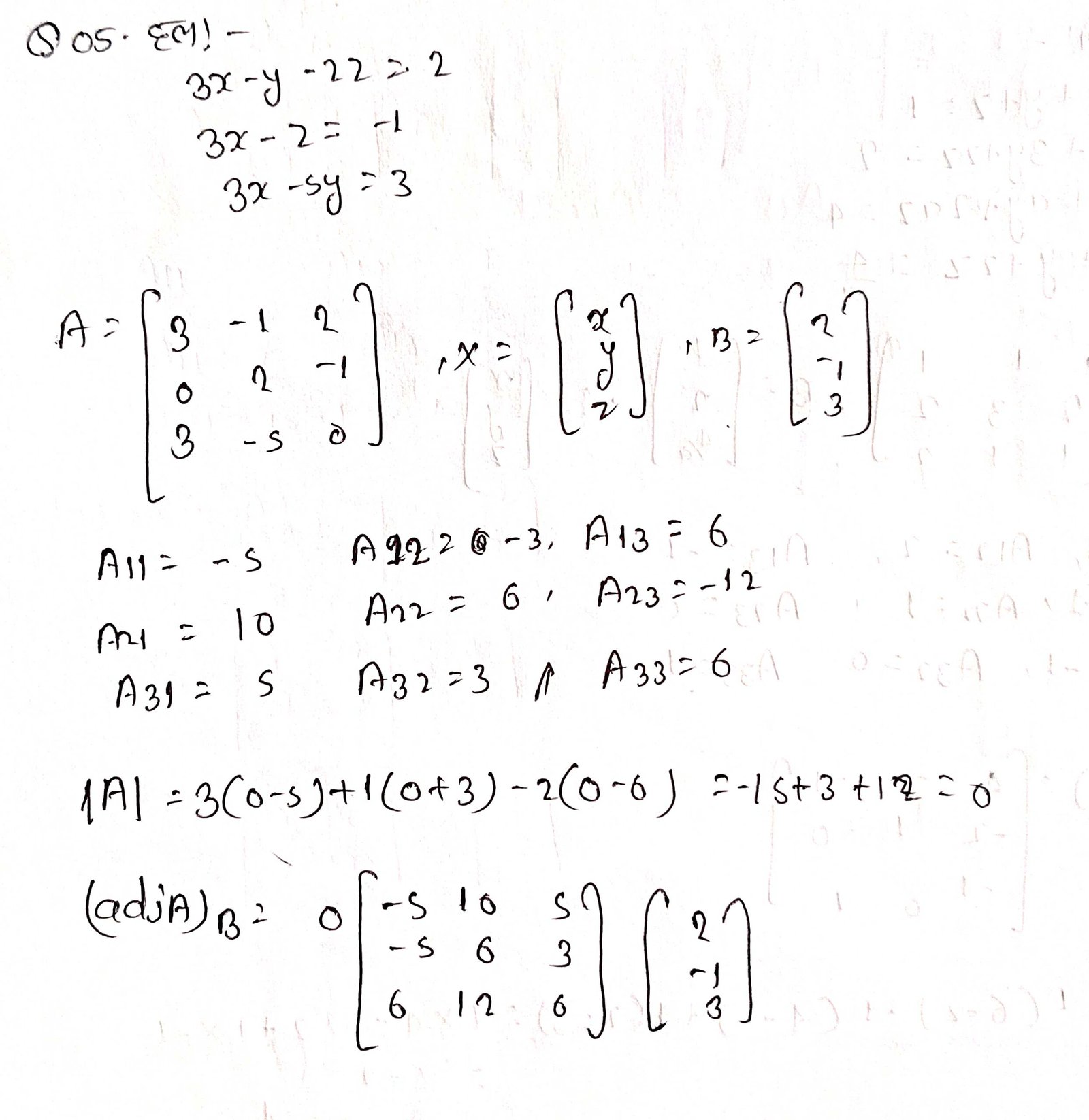
5. 3x–y – 2z = 2
2y – z = –1
3x – 5y = 3

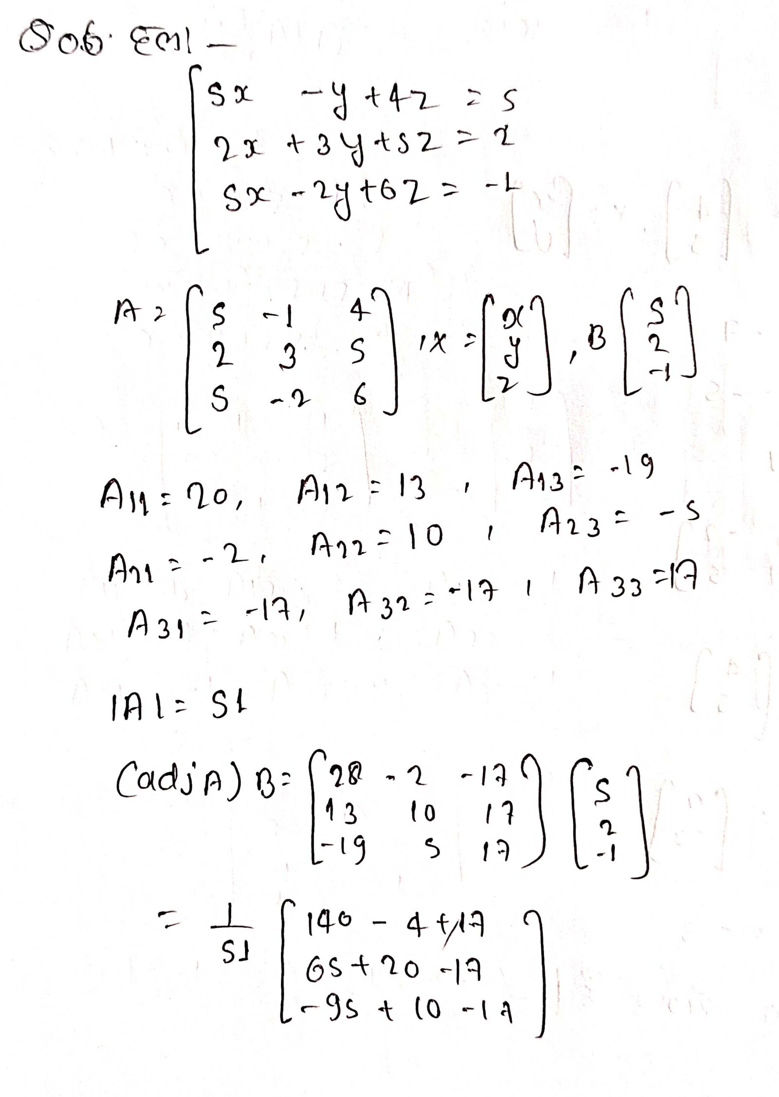
6. 5x – y + 4z = 5
2x + 3y + 5z = 2
5x – 2y + 6z = –1

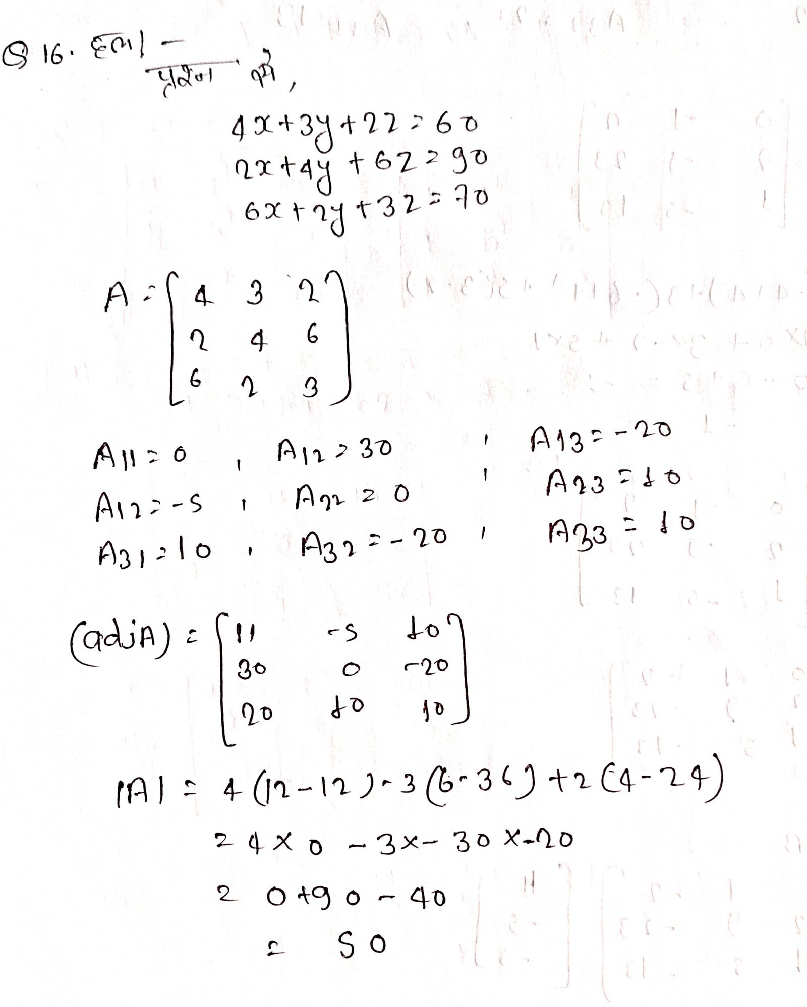
निम्नलिखित प्रश्न 7 से 14 तक प्रत्येक समीकरण निकाय को आव्यूह विधि से हल कीजिए।
7. 5x + 2y = 4
7x + 3y = 5

8. 2x – y = –2
3x + 4y = 3

9. 4x – 3y = 3
3x – 5y = 7

10. 5x + 2y = 3
3x + 2y = 5

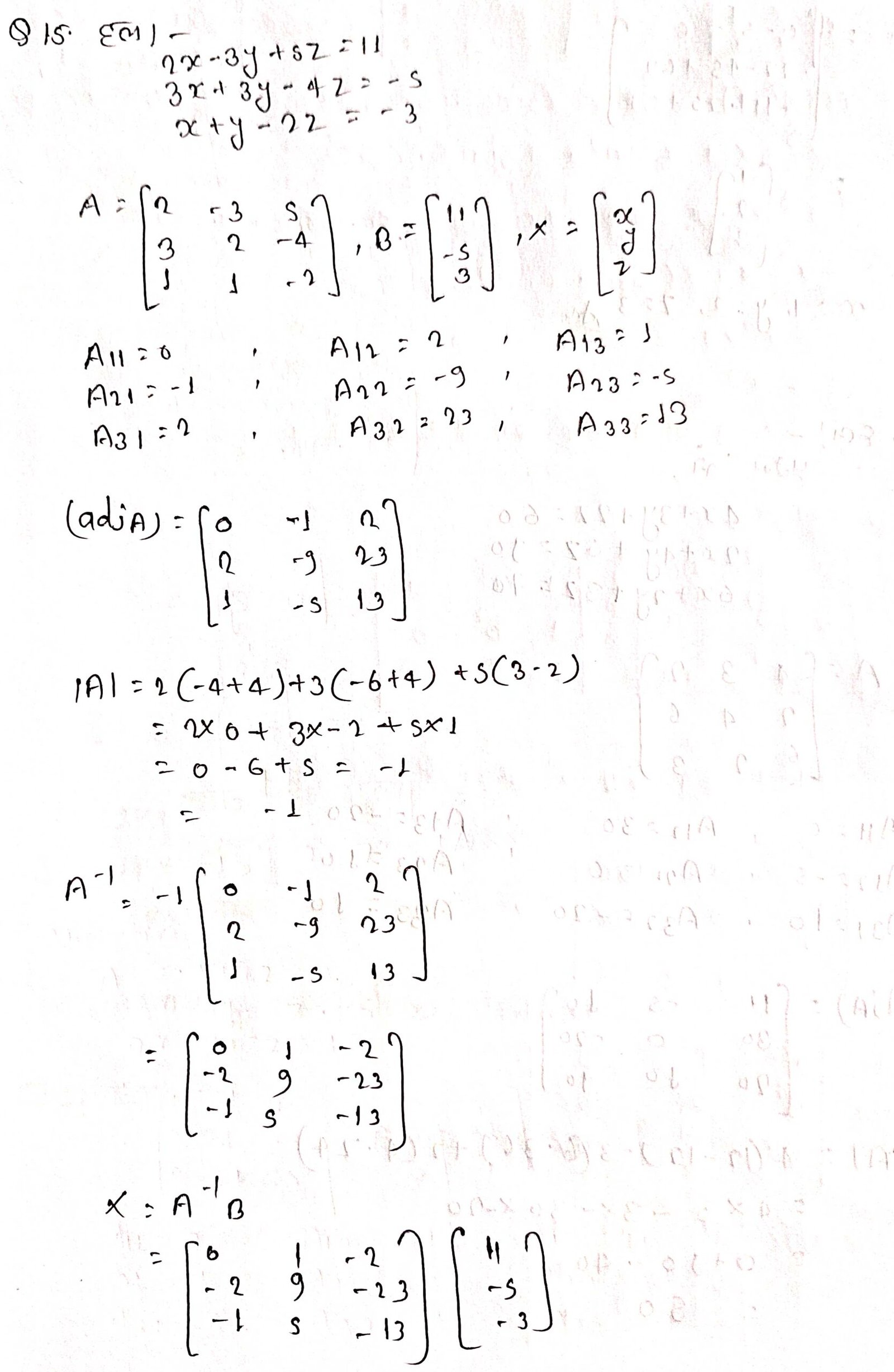
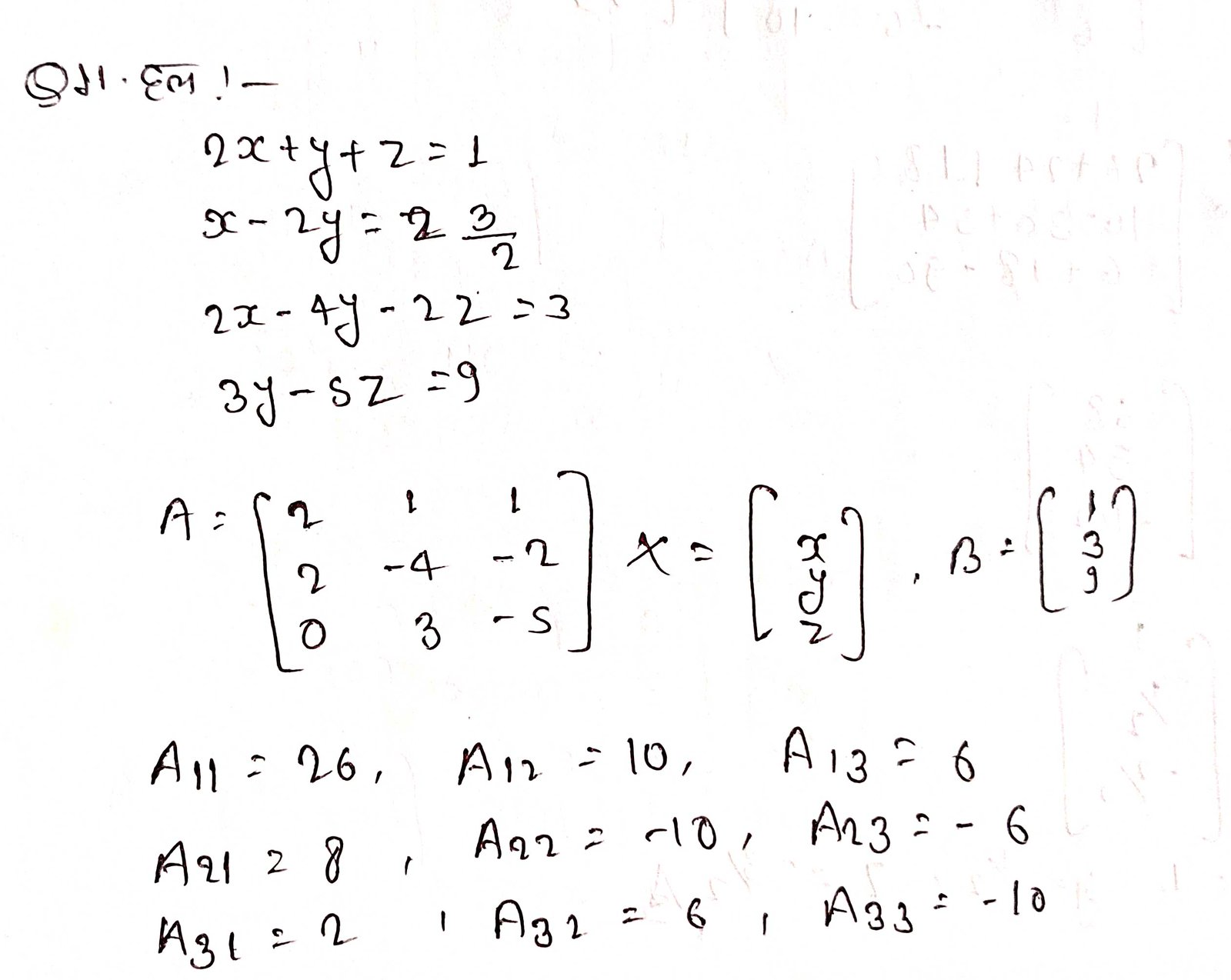
11. 2x + y + z = 1
x – 2y – z = 3/2
3y – 5z = 9

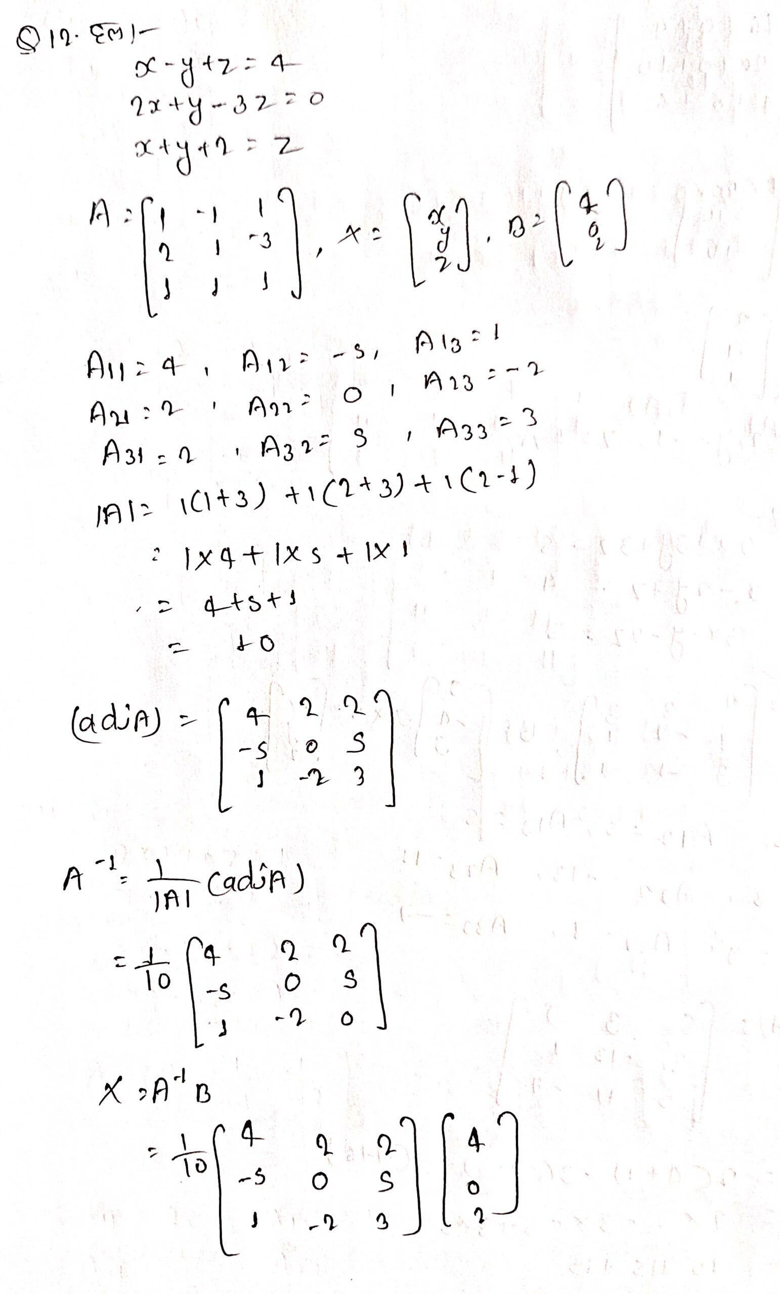
12. x – y + z = 4
2x + y – 3z = 0
x + y + z = 2

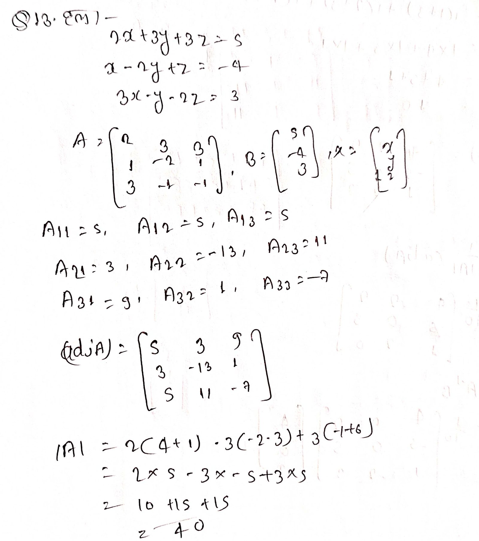
13. 2x + 3y +3 z = 5
x – 2y + z = – 4
3x – y – 2z = 3

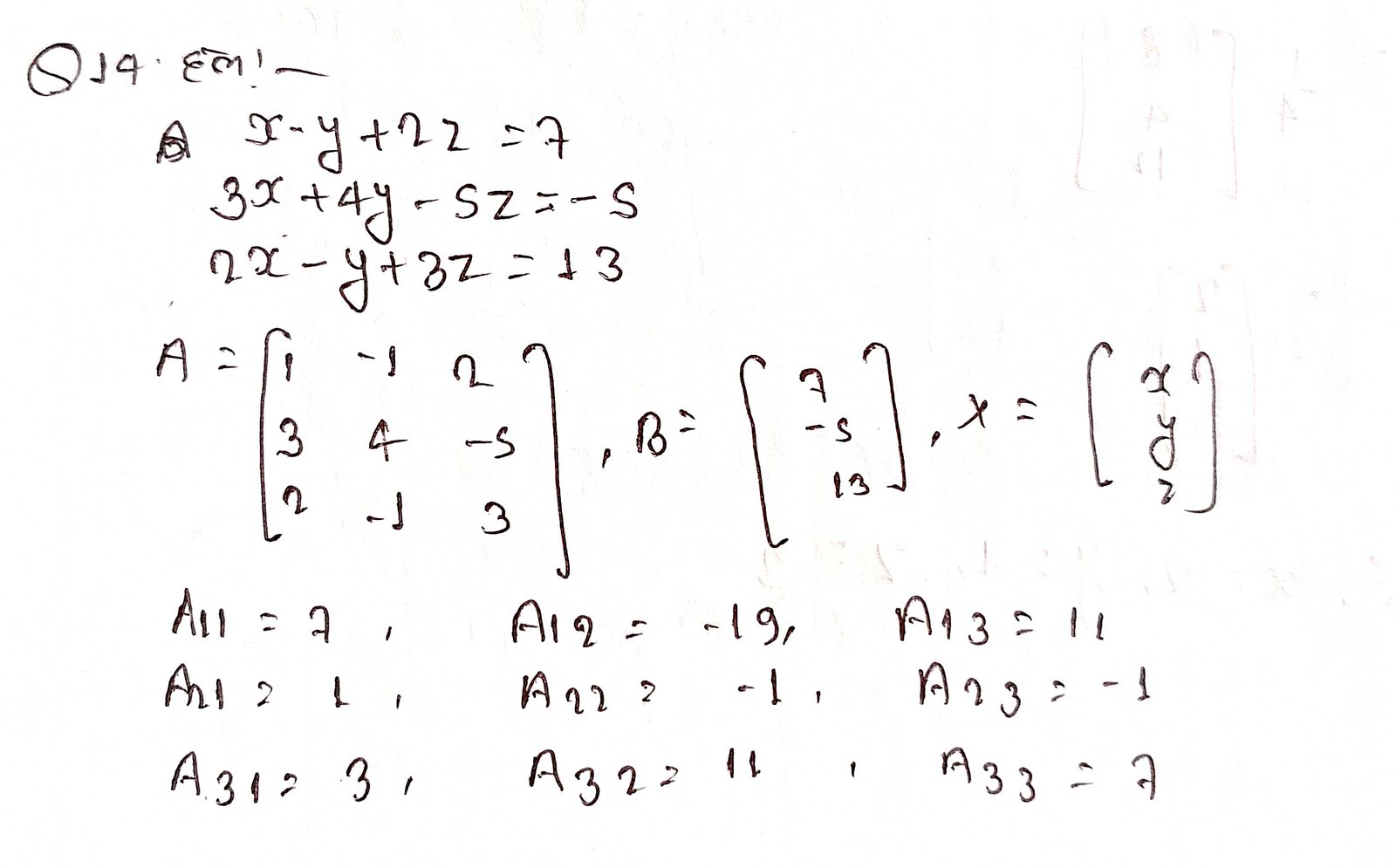
14. x – y + 2z = 7
3x + 4y – 5z = – 5
2x – y + 3z = 12




