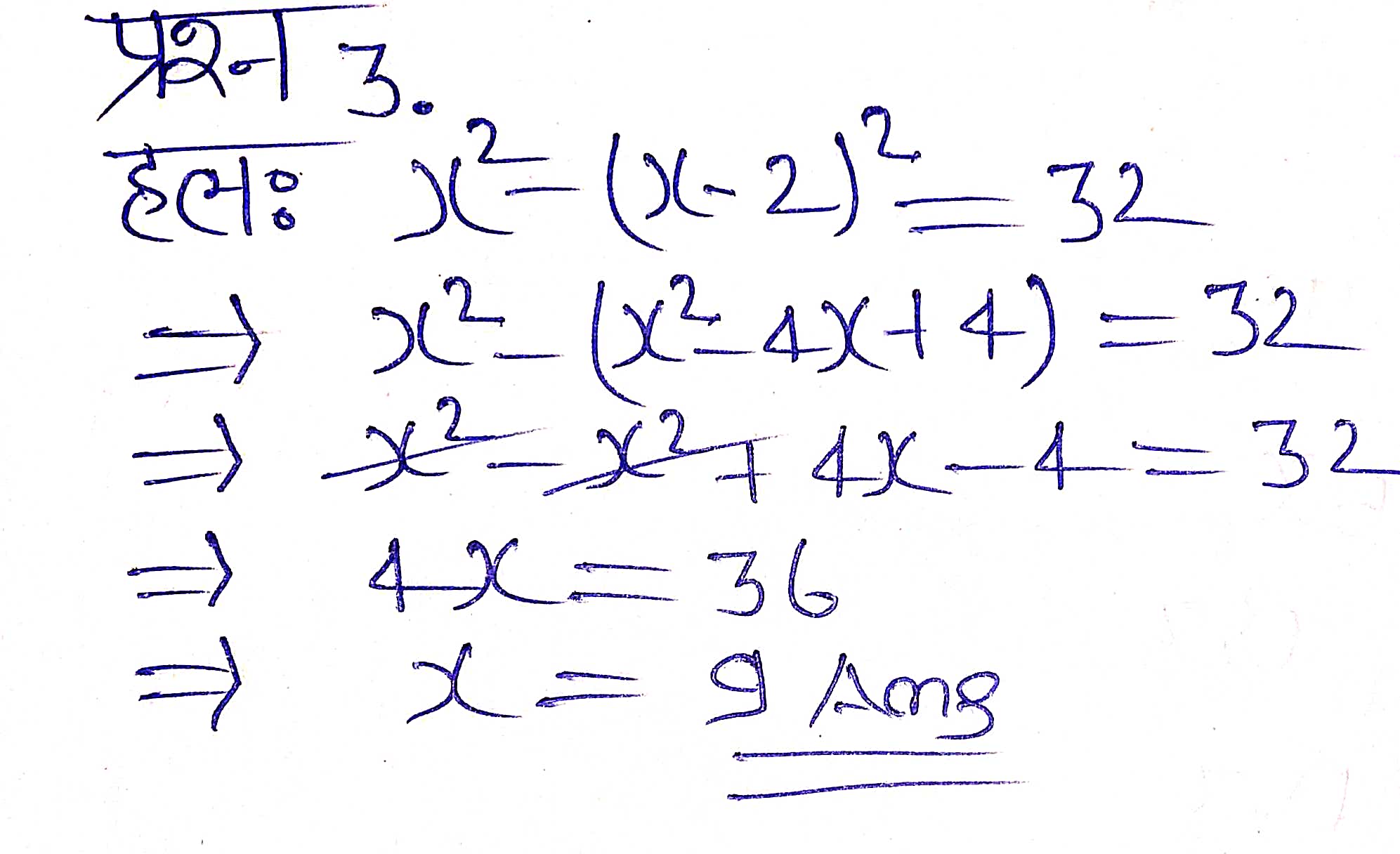
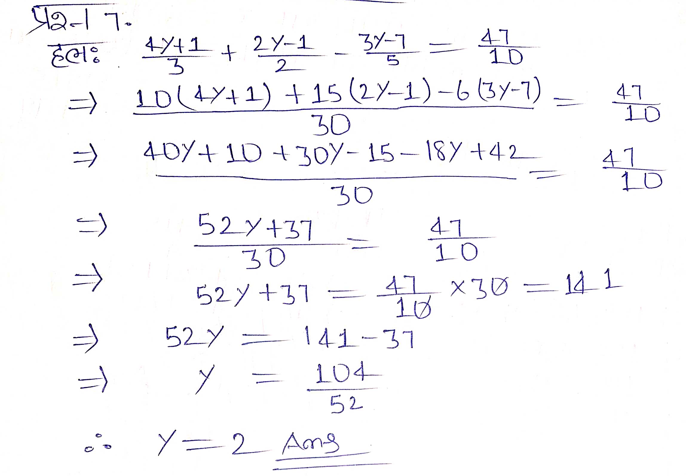
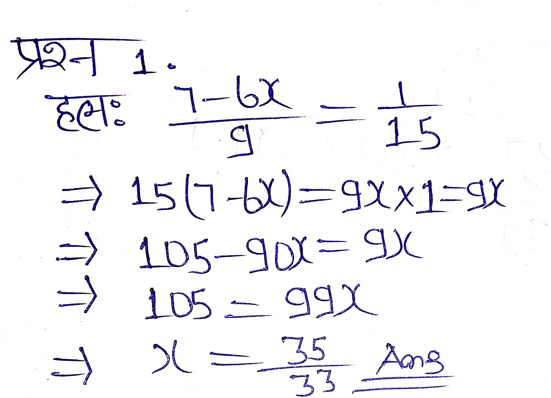
Q. निम्नलिखित समीकरणों का हल ज्ञात कीजिए



प्रश्न 10. दो अंकों की संख्या का दहाई अंक, इकाई अंक का तिगुना है। यदि अंक बदल दिये जाएँ तो प्राप्त संख्या मूल संख्या से 36 कम हो जाती है। वह संख्या ज्ञात कीजिए।

प्रश्न 11. एक नाव धारा की दिशा में एक घाट से दूसरे घाट तक जाने में 9 घंटे लगाती है । धारा की विपरीत दिशा में यही दूरी 10 घंटे में पूरा करती है। यदि धारा की चाल 1 किमी./प्रति घंटा हो तो शांत जल में नाव की चाल एवं दोनों घाटों के बीच की दूरी ज्ञात कीजिए।

Read more- Click here
You Tube – Click here