प्रश्न 1. उस गोले का आयतन ज्ञात कीजिए जिसकी त्रिज्या निम्न है:
(i) 7 m
(ii) 0.63 m

प्रश्न 2. अठोस गोलाकार गेंद द्वारा हटाए गए(विस्थापित) पानी का आवतन ज्ञात कीजिए, जिसका व्यास निम्न है:
(i) 28 cm
(ii) 0.-21 m
प्रश्न 3. धातु की एक गेंद का व्यास 4.2 cm हैं यदि इस धातु का घनत्य 8.9 ग्राम प्रति cm³ है, तो इस गेंद का द्रव्यमान ज्ञात कीजिए।

प्रश्न 4. चन्द्रमा का व्यास पृथ्वी के व्यास का लगभग एक-चौथाई है। चन्द्रमा का आयतन पृथ्वी के आयतन की कौन-सी भिन है?

प्रश्न 5. व्यास 10.5 cm वाले एक अर्धगोलाकार कटोरे में कितने लीटर दूध आ सकता है?

प्रश्न 6. एक अर्धगोलाकार टंकी 1 cm मोटी एक सोहे की चादर (sheet) से बनी है। यदि इसकी आंतरिक त्रिज्या 1 m है, तो इस टंकी के बनाने में लगे लोहे का आयतन ज्ञात कीजिए।

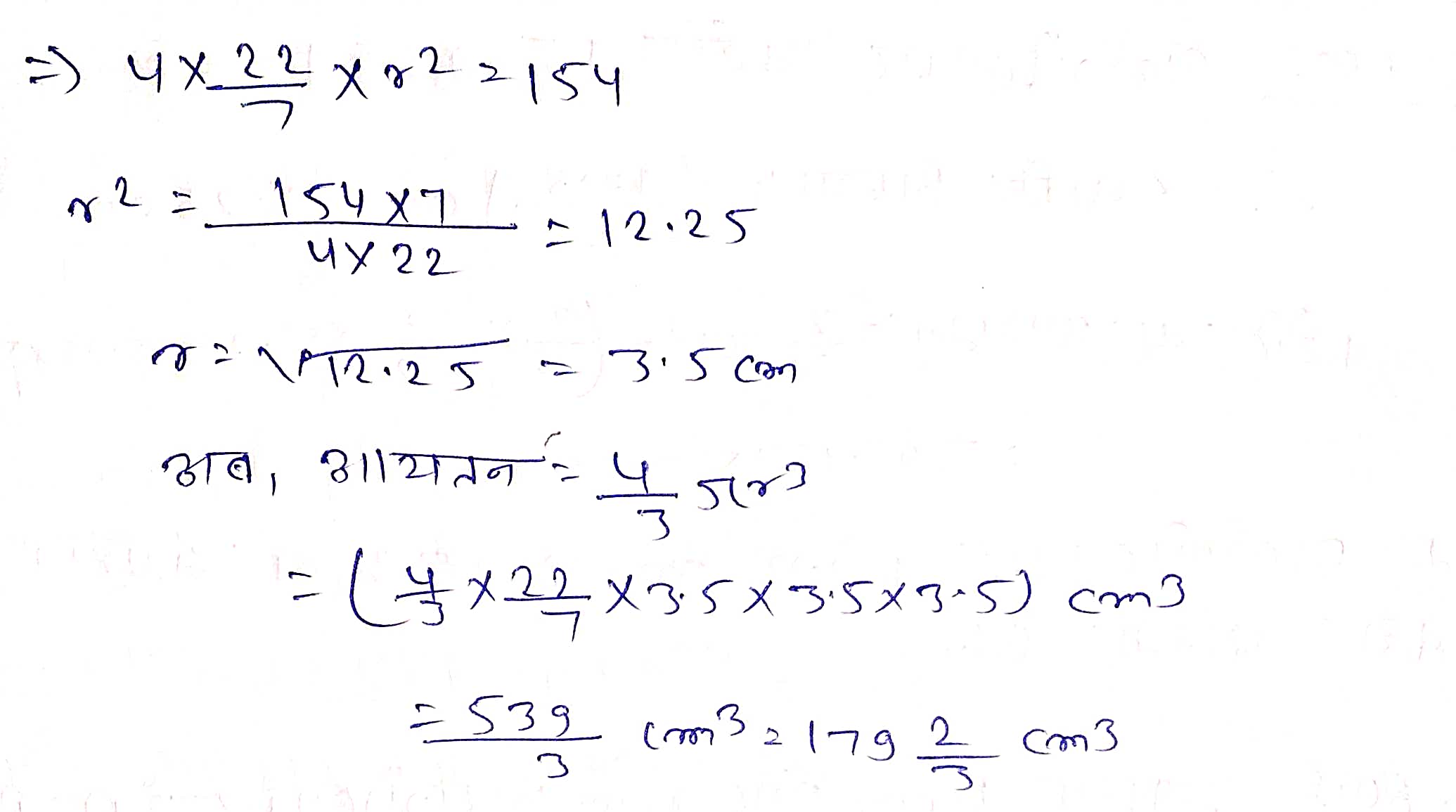
प्रश्न 7. अ गोले का आयतन ज्ञात कीजिए जिसका पृष्ठीय क्षेत्रफल 154 cm² है।


प्रश्न 8. किसी भवन का गुंबद एक अर्थगोले के आकार का है। अंदर से, इसमें सफेदी कराने में Rs 498.96 व्यय हुए। बदि सफेदी कराने की दर Rs 2 प्रति वर्ग मीटर है. तो ज्ञात कीजिए।
(i) गुंबद का आंतरिक वक्र पृष्ठीय क्षेत्रफल
(ii) गुंबद का अंदर की हवा का आयतन।

प्रश्न 9. लोहे के सत्ताइस ठोस गोलों को पिघलाकर जिनमें से प्रत्येक की त्रिज्या है और पृष्ठीय क्षेत्रफल है, एक बड़ा गोला बनाया जाता है जिसका पृष्ठीय क्षेत्रफल है। ज्ञात कीजिए।
(i) नए गोले की त्रिज्या r’
(ii) S और S’ का अनुपात।

प्रश्न 10. दवाई का एक कैपसूल (capsule) 3.5 mm व्यास का एक गोला (गोली) है। इस कैपमूल को भरने के लिए कितनी दवाई (mm³ में) की आवश्यकता होगी?
