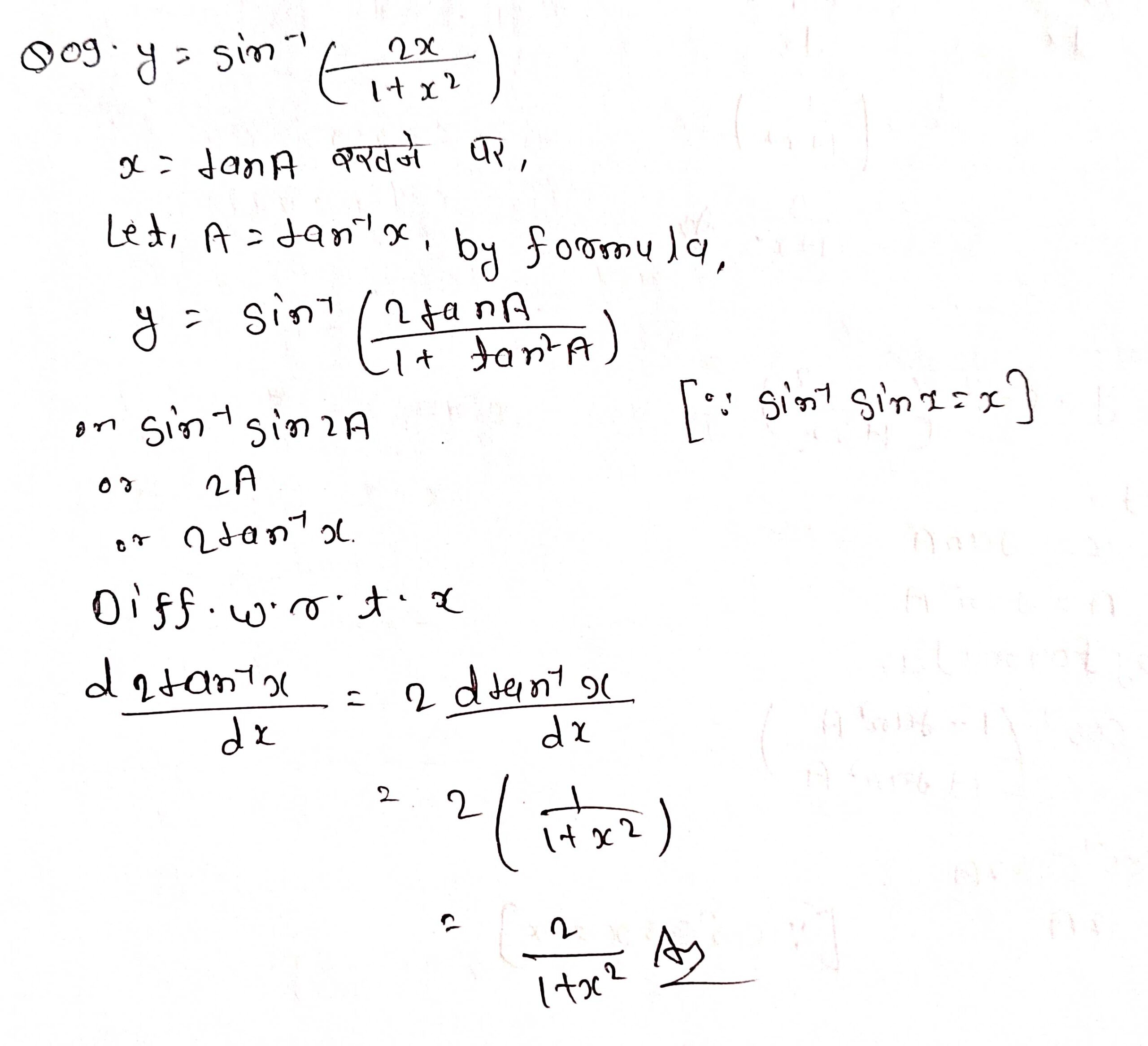
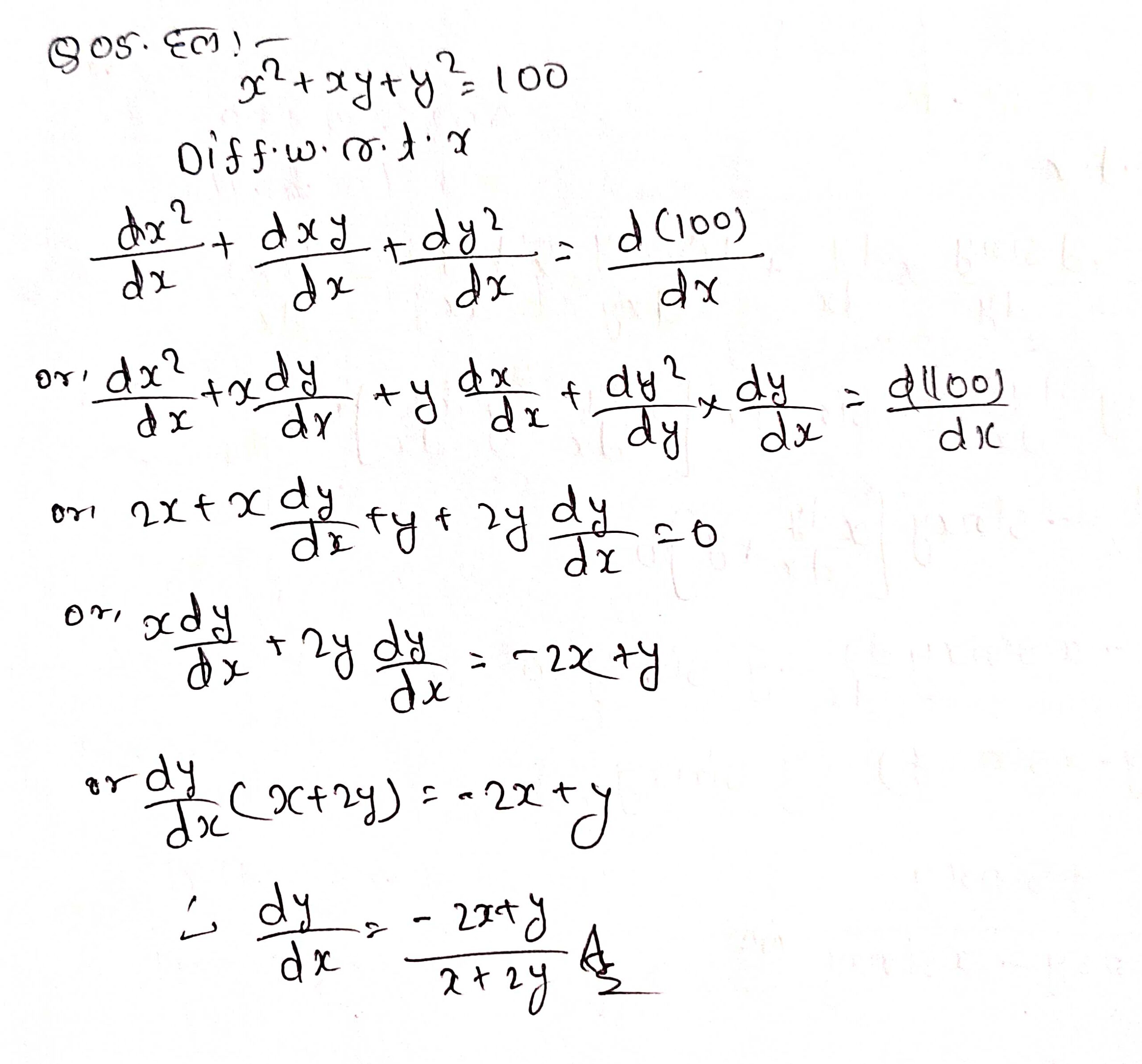
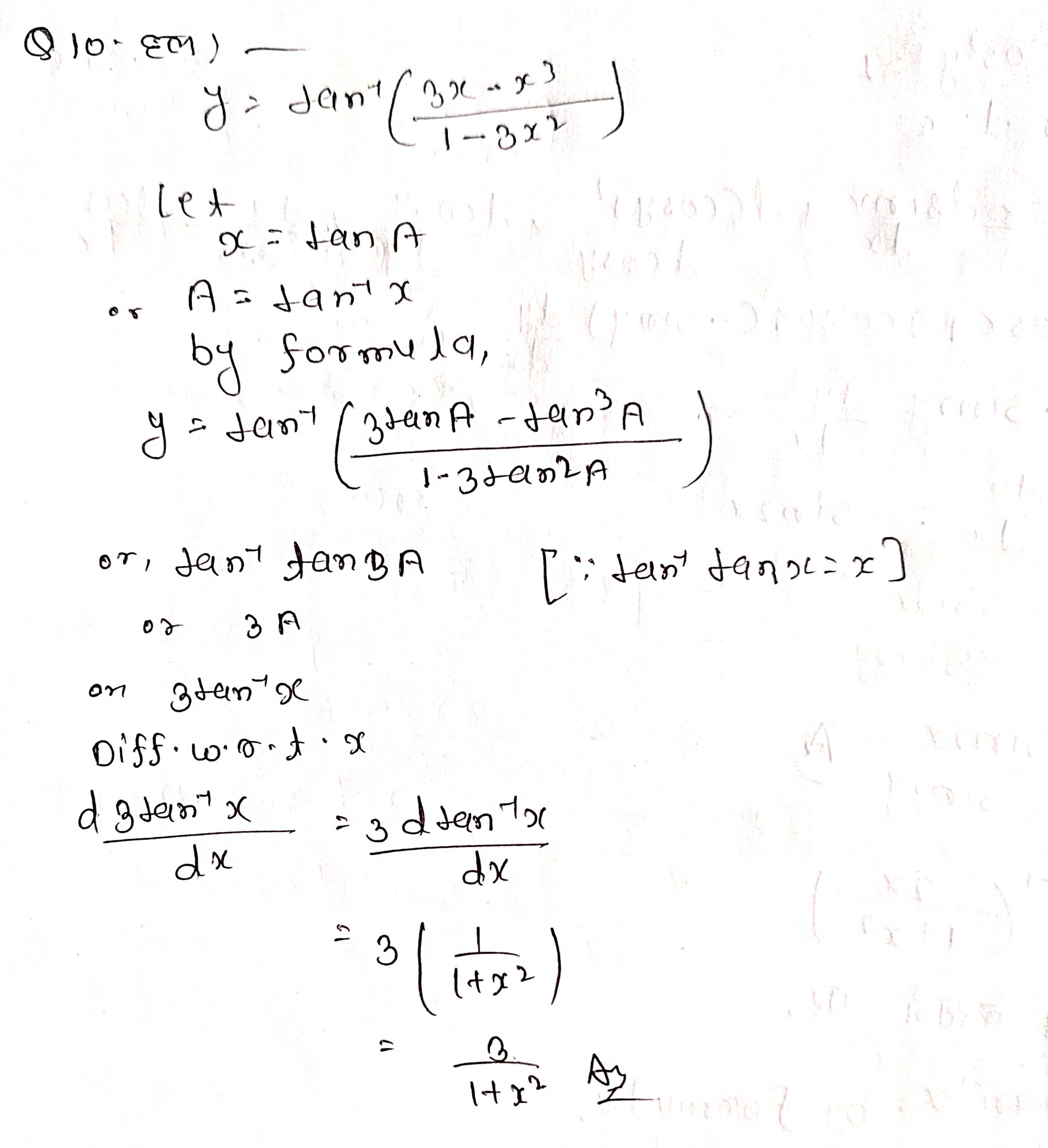
Eci Tutorial
Comment
Save my name, email, and website in this browser for the next time I comment.
Δ