प्रश्न 1. दिए गए पदों में सार्व (उभयनिष्ठ) गुणनखंड ज्ञात कीजिए-
(a) 9y, 27
(b) 5x, 25x
(c) 7ab, -14ab
(d) -16x2y2, -x2y2z2
(e) 17x, 102y
(f) 11xyz, 100z
(g) a2bc, ab2c, abc2
(h) 2x, 3y, 5z
(i) 20x2y2, 30y2z2, 40z2x2
(j) 2x (a + b)(b + c), x (a + b)

प्रश्न 2. दिए गए उदाहरण के आधार पर खाली जगह को भरिए-


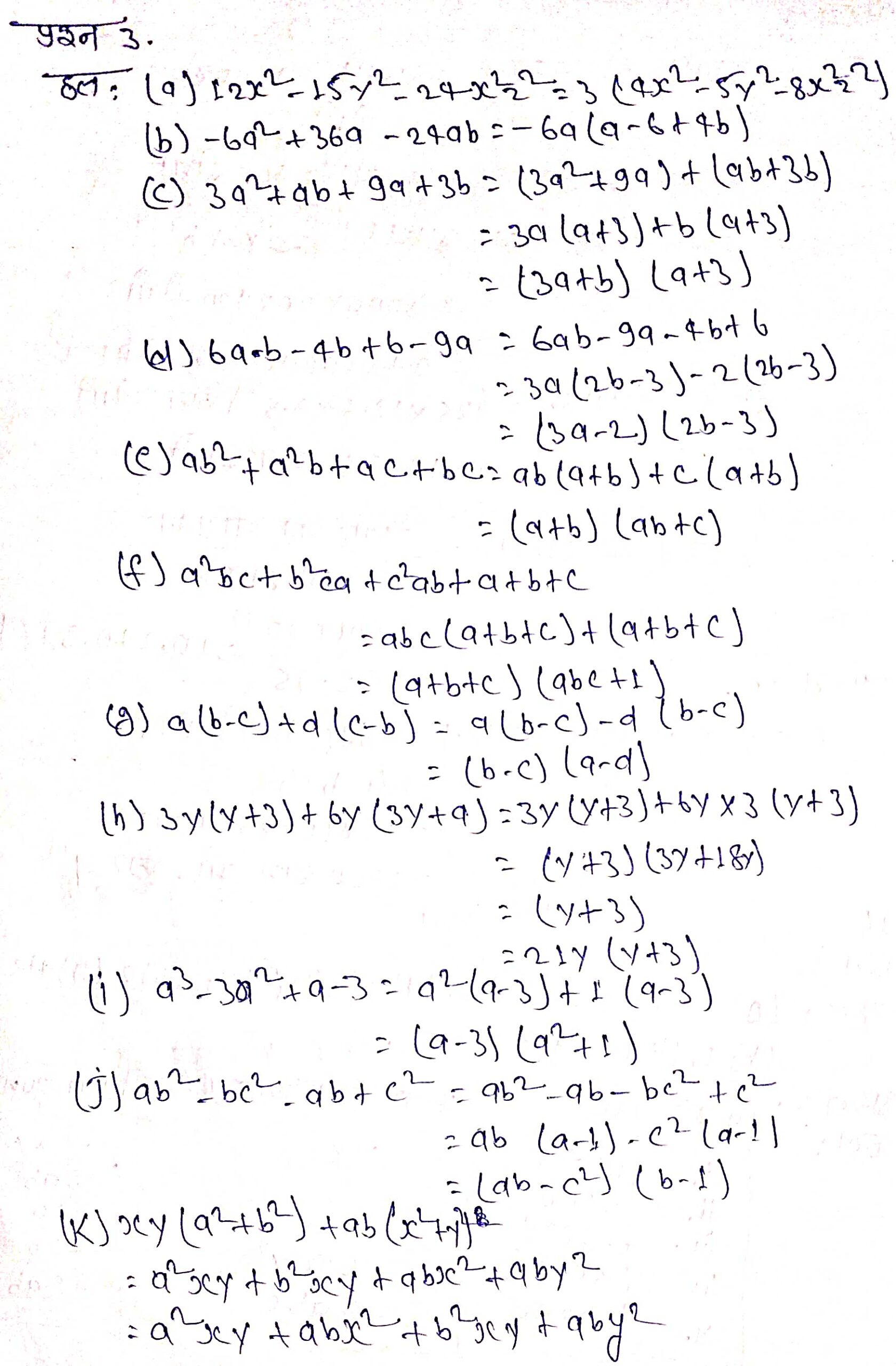
प्रश्न 3. निम्नलिखित का गुणनखण्ड ज्ञात कीजिए-
(a) 12x2 – 15y2 – 24x2z2
(b) -6a2 + 36a – 24ab
(c) 3a2 + ab + 9a + 3b
(d) 6ab – 4b + 6 – 9a
(e) ab2 + a2b + ac + bc
(f) a2bc + b2ca + c2ab + a + b + c
(g) a(b – c) + d(c – b)
(h) 3y(y + 3) + 6y(3y + 9)
(i) a3 – 3a2 + a – 3
(j) ab2 – bc2 – ab + c2
(k) xy(a2 + b2) + ab (x2 + y2)
