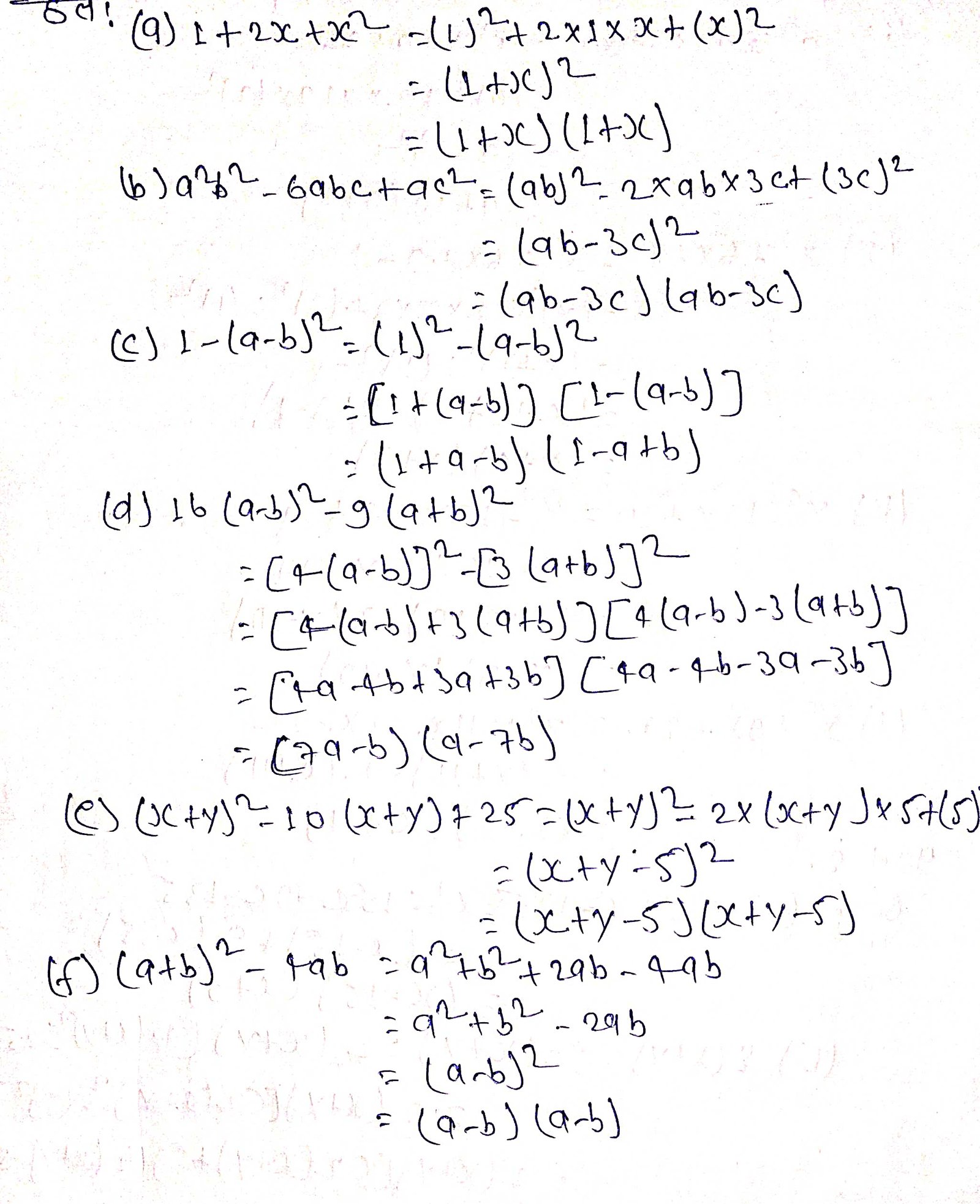
प्रश्न 1. निम्नलिखित व्यंजकों का गुणनखंड ज्ञात कीजिए-


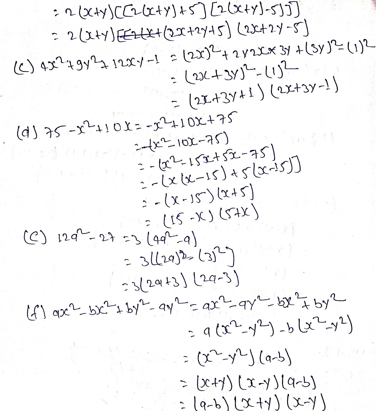
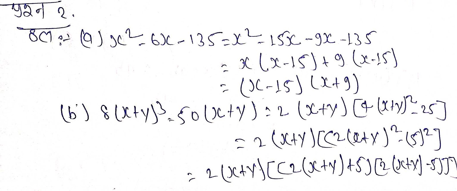
प्रश्न 2. निम्नलिखित व्यंजकों का गुणनखण्ड कीजिए-
(a) x2 – 6x – 135
(b) 8(x + y)3 – 50(x + y)
(c) 4x2 + 9y2 + 12xy – 1
(d) 75 – x2 + 10x
(e) 12a2 – 27
(f) ax2 – bx2 + by2 – ay2

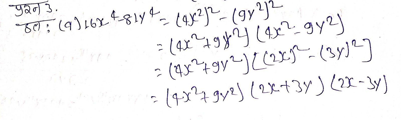
प्रश्न 3. निम्नलिखित व्यंजकों का गुणनखंडन कीजिए-
(a) 16x4 – 81y4
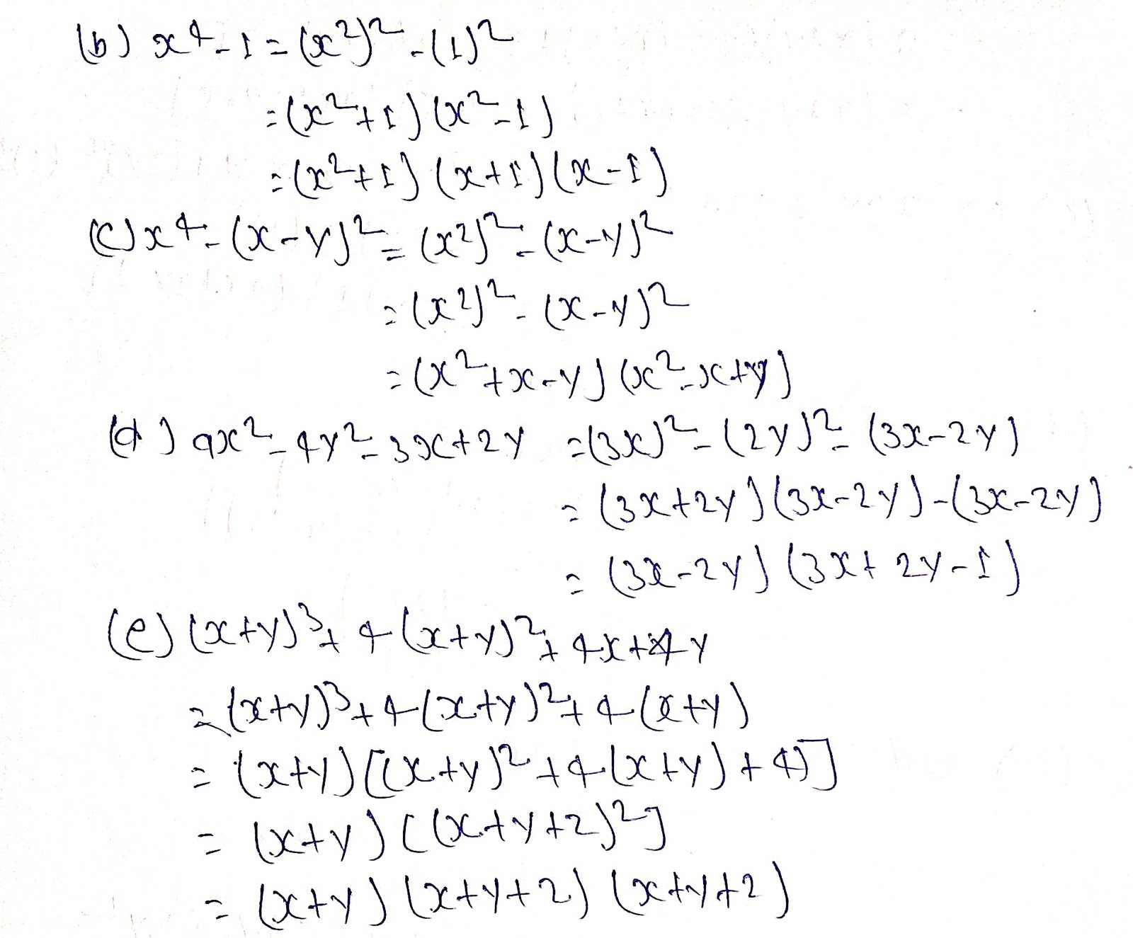
(b) x4 – 1
(c) x4 – (x – y)4
(d) 9x2 – 4y2 – 3x + 2y
(e) (x + y) + 4 (x + y)2 + 4x + 4y
