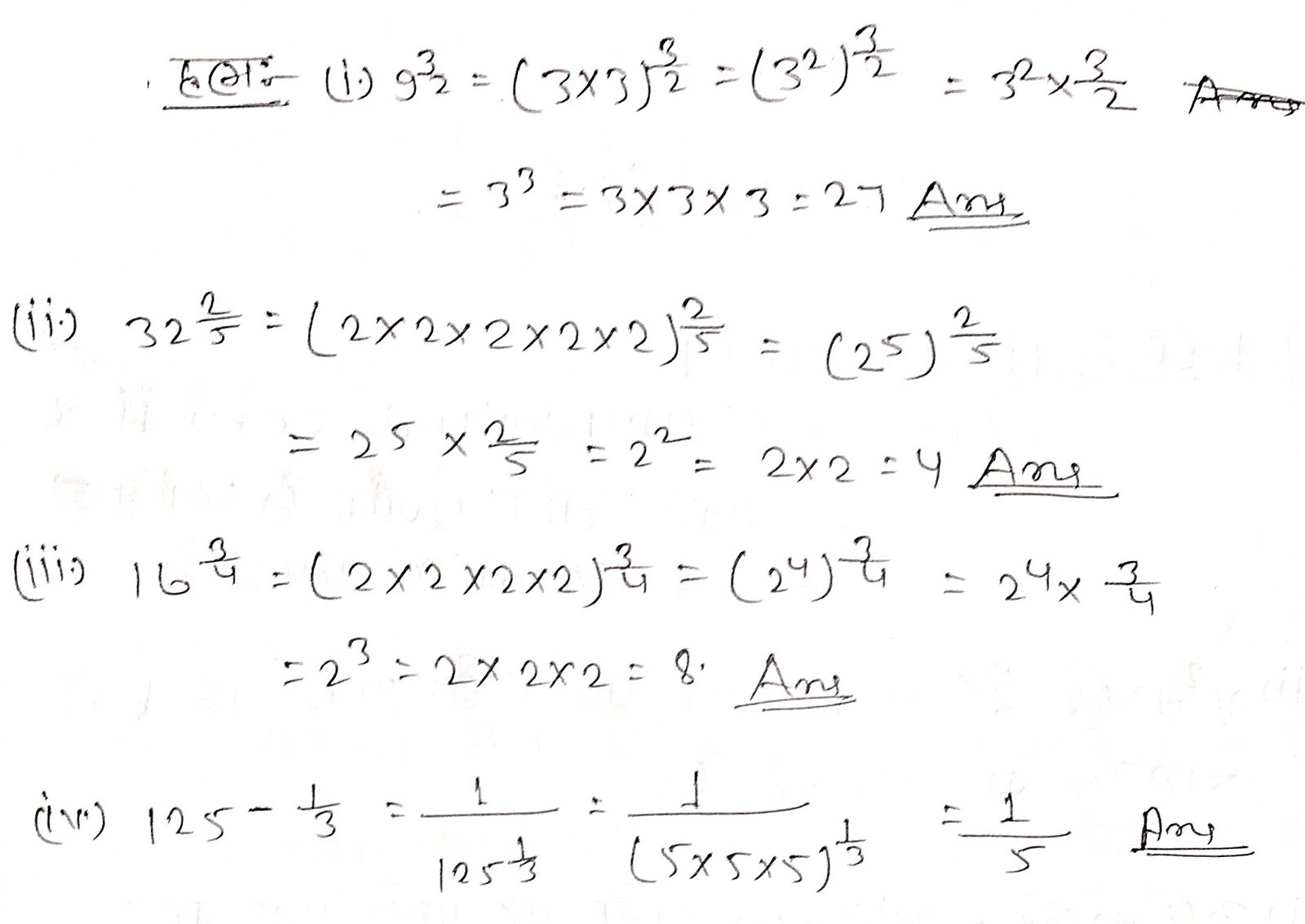
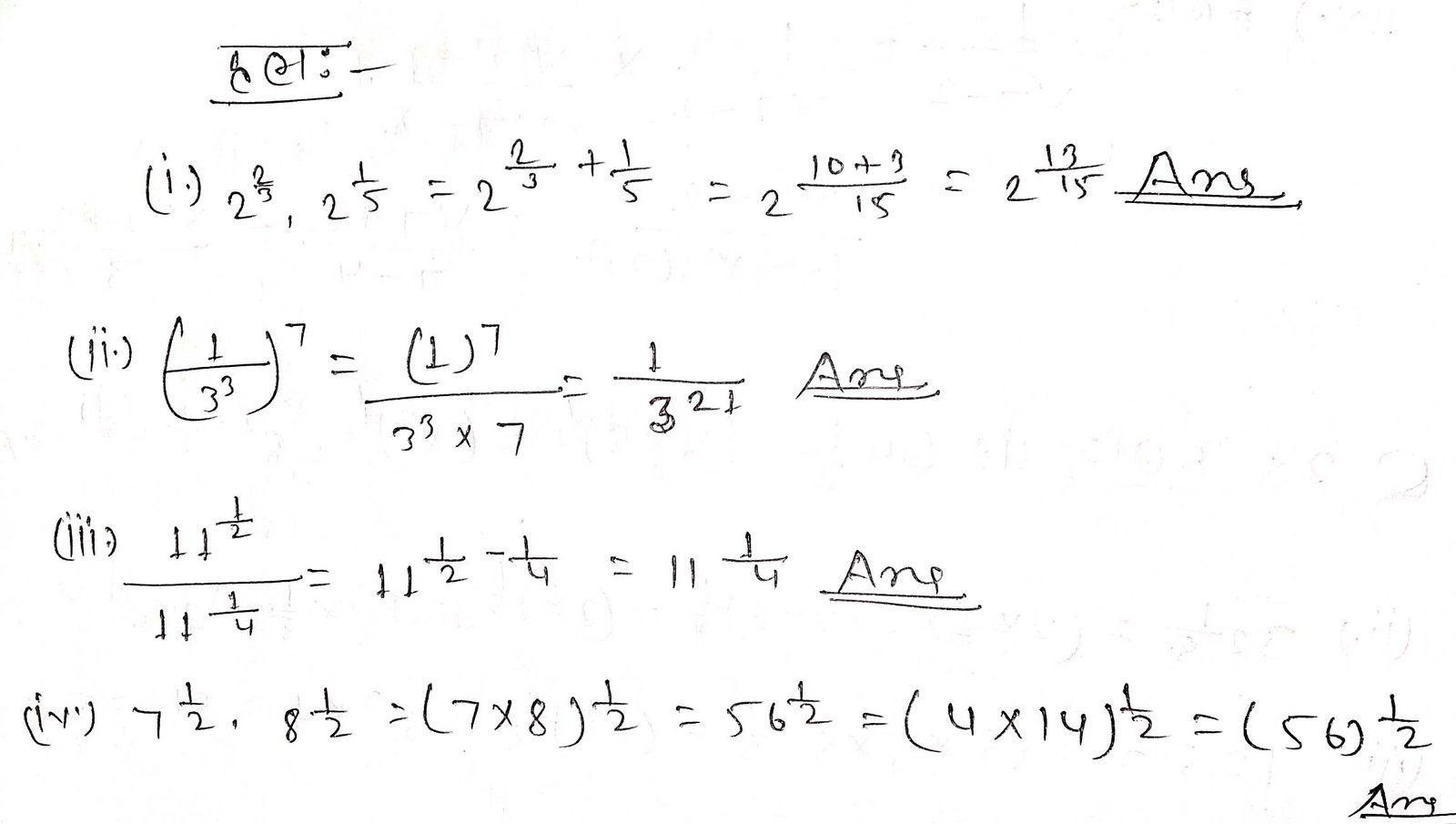
BSEB Bihar Board Class 9 Maths Solutions Chapter 1 संख्या पद्धति Ex 1.6 03/10/2023 by Raja K प्रश्न 1. ज्ञात कीजिए प्रश्न 2. ज्ञात कीजिए प्रश्न 3. सरल कीजिए