प्रश्न 1. निम्नलिखित पर बहुपद 5x – 4x² + 3 के मान ज्ञात कीजिए
(i) x = 30
(ii) x = -1
(iii) x = 2.

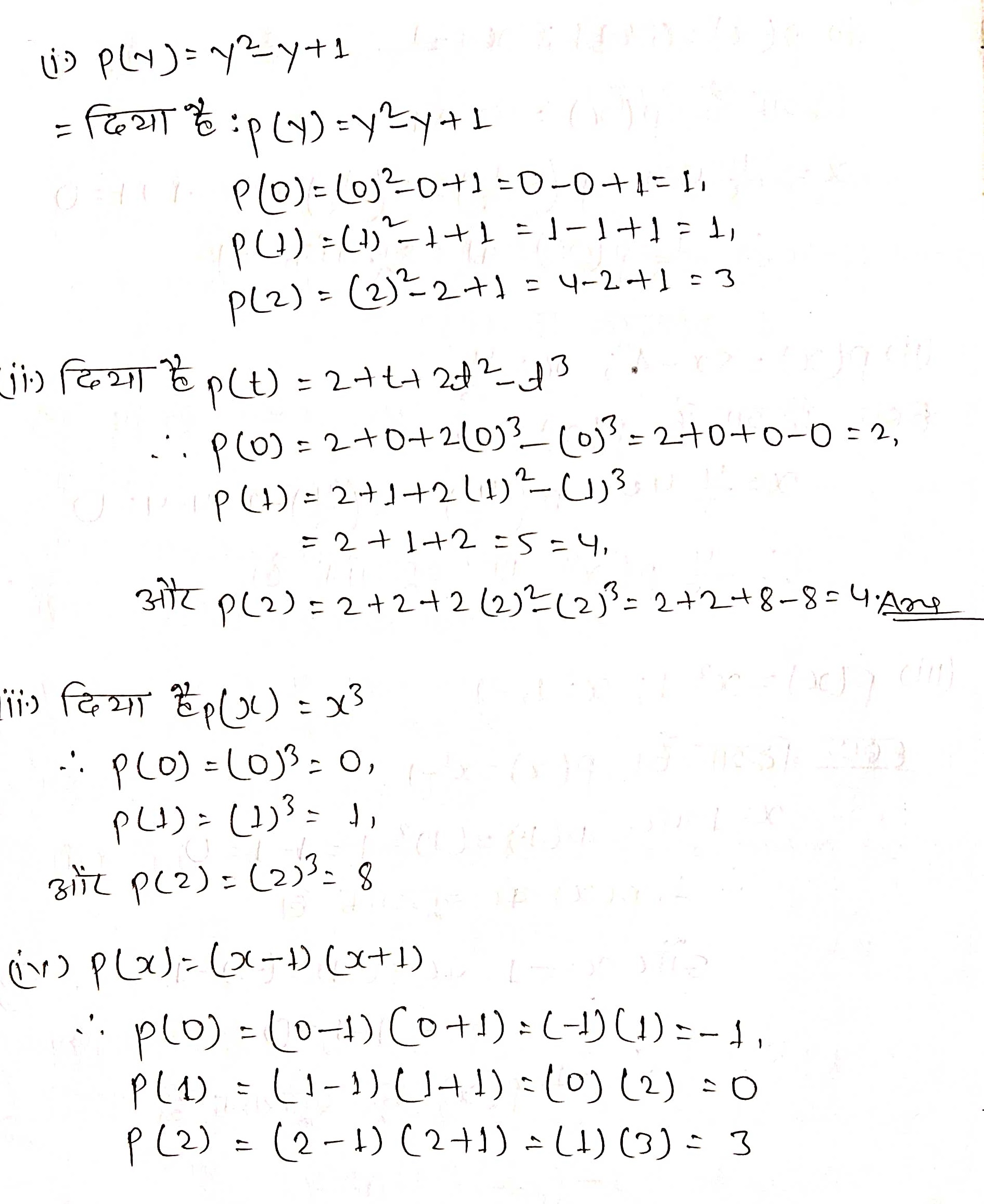
प्रश्न 2. निम्नलिखित बहुपदों में से प्रत्येक बहुपद के लिए P(0), p(1) और p(2) ज्ञात कीजिए
(i) P(y) = y² – y + 1
(ii) p(t) = 2 + t + 2t² – t³
(iii) p(x) = x³
(iv) p(x) = (x – 1)(x + 1).

प्रश्न 3. सत्यापित कीजिए कि दिखाए गए मान निम्नलिखित स्थितियों में संगत बहुपद के शून्यक है-


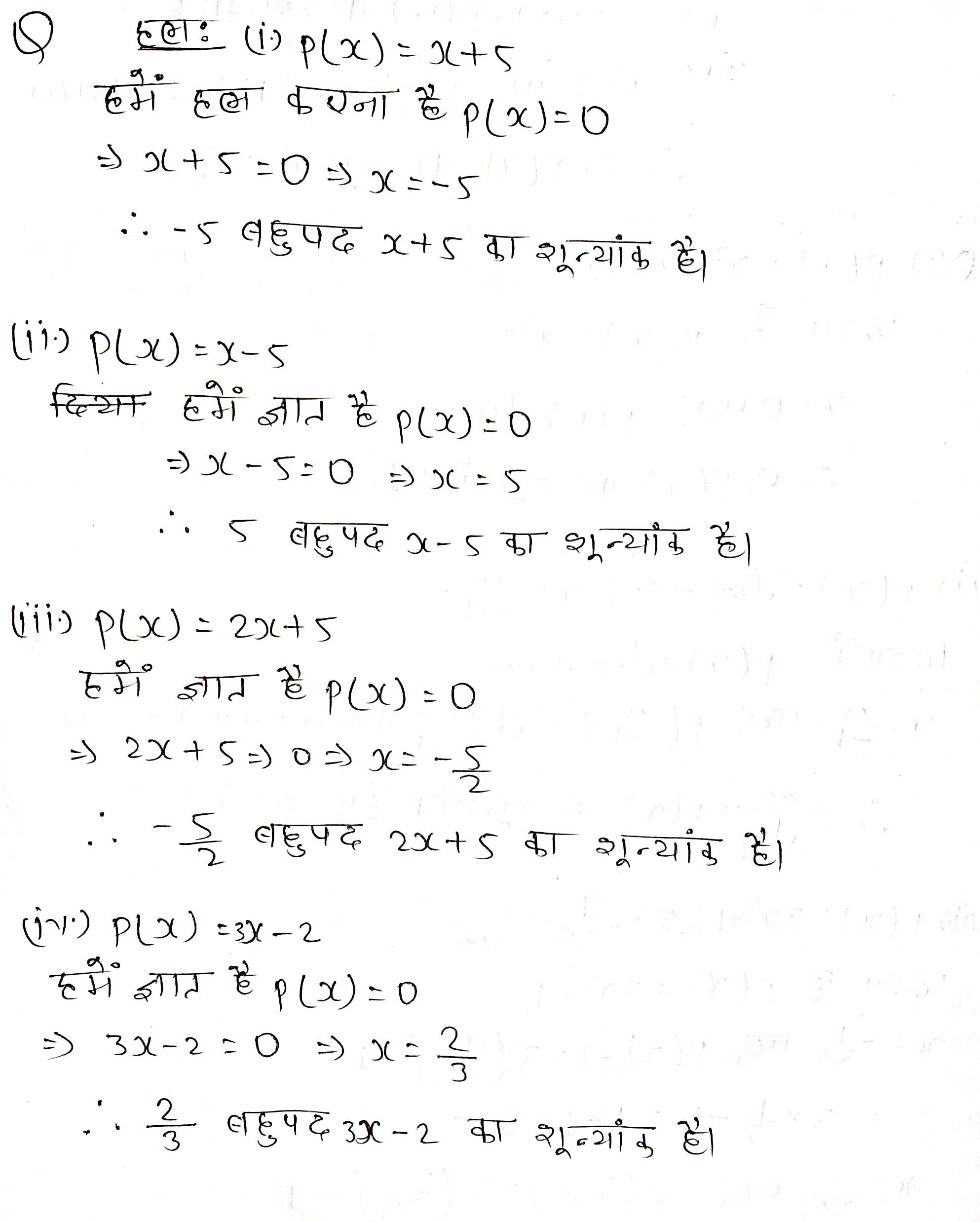
प्रश्न 4. निम्नलिखित स्थितियों में से प्रत्येक स्थिति में बहुपद का शून्यक ज्ञात कीजिए
(i) p(x) = x + 5
(ii) P(x) = x – 5
(iii) p(x) = 2x + 5
(iv) p(x) = 3x – 2
(v) p(x) = 3x
(vi) p(x) = ax; a ≠ 0
(vii) p(x) = cx + d; c ≠ 0, c, d वास्तविक संख्याएं हैं।
